Modele i przestrzenie koloru
Pantone - międzynarodowy standard identyfikacji kolorów do celów przemysłowych (w tym poligraficznych) opracowany i aktualizowany przez amerykańską firmę Pantone Inc.

System Pantone standaryzuje w szczególności kolory dostępne w procesie CMYK, tj. poligraficznej technice reprodukcji koloru przy użyciu 4 podstawowych barw farby drukarskiej - Cyan, Magenta, Yellow, blacK.
Jednak większość z zestawu 1114 kolorów opisanych w standardzie Pantone nie daje się wiernie reprezentować w procesie CMYK. Wymagają one zastosowania 15 bazowych pigmentów (wliczając biały i czarny). Kolory identyfikowane są kodami literowo-cyfrowymi, np. PMS134.
Wiele krajów używa standardu Pantone do precyzyjnego określania barw swoich flag narodowych.
Model koloru - matematyczny system opisu koloru w przestrzeni parametrów, w specyficznym układzie współrzędnych, np. RGB, gdzie parametry R, G i B przyjmują wartości z ustalonego zakresu: jako liczby ułamkowe od 0 do 1 lub, alternatywnie, jako liczby całkowite od 0 do 255.
Do określenia koloru potrzebne jest prócz samego parametrycznego modelu - jego powiązanie z przestrzenią rzeczywistych kolorów, a więc określenie jakiej fizycznej długości fali świetlnej odpowiada dany punkt w układzie RGB.
Przestrzeń kolorów to pewien model koloru wraz z odwzorowaniem tego modelu w ustalony "fizyczny" układ kolorów. Np. przestrzenie "Adobe RGB" i "sRGB" to dwie różne przestrzenie kolorów bazujące na tym samym modelu - różniące się ww. odwzorowaniem.

Gamut - obraz odwzorowania modelu, np. gamut CRT

Przestrzenie bazujące na modelach RGB i CMYK opisują zdolność reprodukcji koloru przez fizyczne urządzenia - odp. monitory ekranowe i urządzenia poligraficzne w procesie CMYK, natomiast ludzka percepcja koloru lepiej modelowana jest przez system Lab.
Przestrzeń Lab
Isnieje wiele standardów Lab, np. CIE-Lab (Commission Internationale d'Eclairage) używany jest jako fizyczna przestrzeń odniesienia, w którą odwzorowywane są inne modele koloru. Standardy Lab zbudowane są na bazie tzw. trójchromatycznego modelu percepcji barw, CIE 1931 XYZ. Ponieważ Lab ma w zamierzeniu być najwierniejszym modelem percepcji koloru przez człowieka, system ten doskonalony jest wraz z postępem wiedzy neurofizjologicznej dotyczącej wzroku.
Percepcja barw przez oko polega na jednoczesnej stymulacji komórek nerwowych w siatkówce, tzw. czopków. Występują one w trzech rodzajach, przy czym każdy z nich reaguje na inny zakres długości fal - długie (barwa czerwona), średnie (barwa zielona) i krótkie (barwa niebieska). Wykres poniżej pokazuje przybliżoną wrażliwość poszczególnych rodzajów czopków na bodźce świetlne.

Odkrycie czopków w siatkówce i ich funkcji stało się podstawą trójskładnikowej teorii postrzegania barw.
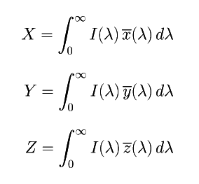
Jako parametry XYZ przyjęto

gdzie funkcja I jest spektralnym rozkładem mocy promieniowania docierającego do siatkówki. Współrzędne w przestrzeni Lab są nieliniowymi transformatami wielkości X, Y, Z, por. np.
http://en.wikipedia.org/wiki/Lab_color_space
Transformacje te dobierane są tak aby zwykła Euklidesowa odległość w przestrzeni Lab odpowiadała możliwie wiernie różnicowaniu koloru przez ludzkie oko. A więc jeśli |A-B|<|A-C| to kolory A i B powinny dla nas być bardziej zbliżone niż A i C. Nie jest to na ogół prawdą w przestrzeniach CIE XYZ, ani tym bardziej RGB.
L oznacza jasność (lightness) barwy, o zakresie wartości 0 (czarny) do 100 (biały). Parametr a przyjmuje wartości ujemne i dodatnie, określając zmienność od zieleni do purpury, podobnie dla b, oznaczającego zmienność od błękitu do żółtego.

Gamut ludzkiej percepcji nie wypełnia całej przestrzeni barw opisywanych modelem Lab.
Przestrzenie RGB, CMYK i HSV
Red, Green, Blue - 3 składniki barwy, parametry modelujące powstawanie koloru na ekranach monitorów kineskopowych i ciekłokrystalicznych. Nie jest to w ogólności model absolutny, odwzorowanie 3 liczb w przestrzeń kolorów zależy od rodzaju urządzenia reprodukującego i jego ustawień (jasność, kontrast itp.). Model absolutny to np. Adobe RGB, który szczegółowo określa parametry czystych barw R, G, B w odniesieniu do CIE XYZ, a także niektóre parametry techniczne monitora (w szczególności jego luminancję dla punktu białego i czarnego - ilość światła emitowaną przez jednostkę pow. ekranu).
RGB jest addytywnym modelem barw, kolory powstają przez sumowanie sygnałów w poszczególnych kanałach. Jasność wynikowego koloru zależy z grubsza od sumy sygnałów składowych.

Przestrzeń barw RGB jest często wizualizowana jako sześcian w przestrzeni parametrów R, G i B.

Cyan, Magenta, Yellow, blacK - model oparty o barwy dopełniające do podstawowych R, G, B:
C = W - R
M = W - G
Y = W - B
gdzie W oznacza kolor biały (White). Jest to model subtraktywny - barwy powstają prze odejmowanie poszczególnych składników od światła białego.

Model ten odpowiada zjawisku powstawania barwy przez odbicie światła od powierzchni przedmiotów. Powierzchnia przedmiotów barwnych pochłania część spektrum padającego na nie światła, światło odbite docierające do obserwatora wywołuje w oku wrażenie koloru.

C, M, Y odpowiadają pigmentom nanoszonym w procesie poligraficznym na papier. Każdy z nich, odbijając białe światło, pochłania odpowiednią cześć spektrum, a światło odbite tworzy w oku obserwatora wrażenie barwy.
Nałożenie wszystkich 3 pigmentów produkuje kolor czarny (całe spektrum padającego światła jest absorbowane). W praktyce jednak wygląda on jak brudny brąz. Dlatego używa się dodatkowego wyciągu czarnego K: czarny tusz jest tańszy niż C, M i Y, a ponadto użycie 3 pigmentów powodowałoby wolniejsze schnięcie wydrukowanego materiału, rozmazywanie szczegółów itp.
Intensywność poszczególnych pigmentów regulowana jest w druku gęstością siatki rastra - biały papier wyzierający pomiędzy punktami rastra "rozrzedza" dany pigment. Każdy z wyciągów wykorzystuje inny kąt nachylenia siatki rastra, tak aby uniknąć nakładania się pigmentów.

Różnice między reprodukcją barw w przestrzeniach RGB i CMYK są na ogół znaczne, bo istotnie różnią się ich gamuty:

Adobe Photoshop przy wyborze kolorów ostrzega, gdy dany kolor leży poza gamutem CMYK

Dlatego też nie istnieje prosty mechanizm konwersji RGB - CMYK, w praktyce konwersje takie realizowane są przez tzw. color management systems z wykorzystaniem profilów ICC (International Color Consortium) właściwych dla konkretnych urządzeń graficznych.
Hue, Saturation, Value (czasem Brightness, Lightness, Intensity) - alternatywna reprezentacja przestrzeni RGB, która lepiej oddaje relacje właściwe ludzkiej percepcji barwy, zachowując prostotę obliczeniową. H określa numerycznie barwę (w skali kątowej 0-360º, w odniesieniu do koła barw), S - nasycenie, natomiast V - jasność koloru (B, L, I to inne miary jasności)

Parametry jasności
V = max { R, G, B }
B = ( R + G + B ) / 3
L = ( max { R, G, B } + min { R, G, B } ) / 2
Y = 0.3 R + 0.59 G + 0.11 B
Parametr Y, zwany też luminancją, odpowiada percepcji jasności koloru przez ludzkie oko - Przykład
Konwesja z RGB do HSV



Użyteczne strony www
http://www.couleur.org/index.php - O reprodukcji koloru, o transformacjach między różnymi przestrzeniami koloru itp.