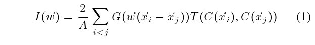
Projection Index:
The value of projection index:

where

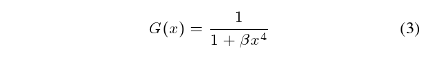
Example of function G(x,B):

Normalization:

Results with narrow window function (B=100):
Appendicitis
Melanoma
Melanoma not optimal solution
Two separate Gauss
Glass
Iris
L. Breast
Monk's 1 (solution 1)
Monk's 1 (solution 2)
Monk's 1 not optimal solution
Monk's 2
Monk's 3
Monk's 3 (solution 2)
Parity 5 optimal solution
Parity 5 not optimal solution
Parity 6 not optimal solution 1
Parity 6 not optimal solution 2
Parity 7
Parity 8
Parity 8 (not optimal)
Parity 9
2D scatter plots:
Monk's 1 (solution 1 + solution 2),
Monk's 3 (solution 1 + solution 2)
Results with B=10:
Appendicitis
Melanoma
Melanoma - (two large clusters)
Two separate Gauss
Iris
L. Breast
Monk's 1
Monk's 2
Monk's 2
Monk's 2
Monk's 3
Monk's 3 (solution 2)
Parity 10
Parity 9
Parity 8
Parity 7
Wine
Trivial 3D Boolean function
Previous results